驻极体传声器主要由振膜、背极板、外壳、保护罩以及绝缘片组成,结构如下图所示。
驻极体传声器的振膜绷在一个密闭空腔上,空腔开孔使腔内气压与大气均衡。
膜片为圆形,膜后安装背极板,两者共同组成一个电容。驻极体传声工作原理如图2所示,驻极体传声器的背极板上粘有高聚物驻极体薄膜,通过注极工艺,在背极板上形成永久的电荷使电容两端形成极化电压。当声压信号入射使膜片振动,改变电容的大小,随即电容两端形成变换的电压,完成声音信号向电信号的转换。由于空气间隙和驻极体薄膜的存在,传声器的电容结构相当于两个串联的电容器。

此时,传声器的等效电容C可以表示为

式中:S0为极板面积,D为驻极体薄膜的厚度,d为空气隙厚度,ε0、εz分别为空气介电常数和驻极体材料的介电常数。
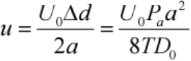
振膜接收声压引起形变,导致电容量变化,进而在传声器两端形成交变电压u,其可以表示为
(2)
式中:U0为极化电压,Δd为振膜的平均位移,a为膜片半径,Pa为振膜接收声压,T为膜片的初始张力,D0为振膜与背极板之间的初始距离。
杭州重庆时时开彩官方网站-时时采彩计划软件-重庆时时开彩官网开奖查询-重庆时时开彩app下载-重庆时时采彩开奖号码走势图-老重庆时时开彩结果仪器专注于声学仪器。